Invasion pathway predicts the axis of ecological niche reorganisation in freshwater crayfish

Avatar
Poster
Voice is AI-generated
Connected to paperThis paper is a preprint and has not been certified by peer review

Invasion pathway predicts the axis of ecological niche reorganisation in freshwater crayfish

Authors

Miok, K.; Petko, O. N.; Robnik-Sikonja, M.; Parvulescu, L.

Abstract

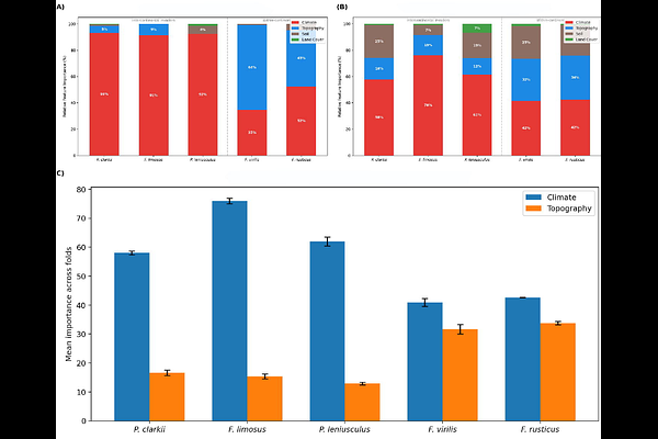
Aim: Understanding whether invasive species retain or shift their ecological niches has traditionally relied on scalar overlap metrics that quantify the magnitude of niche change, but not its structure. Here, we test whether biological invasions involve a reorganisation of the environmental axes along which native and invasive ranges are differentiated, and whether the dominant axes of this reorganisation are consistently associated with invasion pathway type (intercontinental vs. within-continent). Location: Global (North America, Europe, Africa, Asia, Australasia). Time period: Contemporary (environmental variables representing long-term averages, 1980-2021). Major taxa studied: Freshwater crayfish (Decapoda: Astacidea): Procambarus clarkii, Faxonius limosus, Pacifastacus leniusculus, Faxonius virilis, Faxonius rusticus. Methods: We analysed native and invasive occurrences for five globally important crayfish invaders using ~400 hydrologically resolved environmental variables from the Global Crayfish Database of Geospatial Traits. Classification models were used to quantify environmental differentiation between native and invasive ranges, and feature contributions were aggregated by environmental domain (climate, topography, soil, land cover). Patterns were evaluated across intercontinental and within-continent invasion pathways and assessed for robustness using cross-validation, permutation tests, sample-size sensitivity, and comparisons with classical niche overlap metrics. Results: Native and invasive occurrences were consistently distinguishable across all species (accuracy 96.5-99.9%). A pathway-dependent pattern emerged: intercontinental invaders were primarily differentiated along climatic dimensions (58-76% of model importance), whereas within-continent invaders showed a more balanced contribution of climatic and topographic variables (~42% each), including strong signals from river network position. This contrast was stable across cross-validation folds (SD < 1.6%), and supported by permutation tests (P = 0.001). Classical niche overlap metrics (Schoener's D = 0.30-0.62) did not capture this qualitative distinction. Main conclusions: Biological invasions involve not only changes in niche position but a reorganisation of the environmental axes that distinguish species distributions. Our results suggest that the dominant axes of this reorganisation differ systematically with invasion pathway, reflecting whether species encounter novel climatic regimes or primarily shift within existing climatic space along topographic and network-position gradients. By resolving which environmental dimensions underpin native-invasive differentiation, this approach provides a complementary perspective to scalar overlap metrics and a basis for more mechanistic interpretations of invasion processes.

Follow Us on

0 comments

Add comment