Contrasting population structures coexist in a strain-resolved estuarine microbiome

Avatar
Poster
Voice is AI-generated
Connected to paperThis paper is a preprint and has not been certified by peer review

Contrasting population structures coexist in a strain-resolved estuarine microbiome

Authors

Lui, L. M.; Nielsen, T.

Abstract

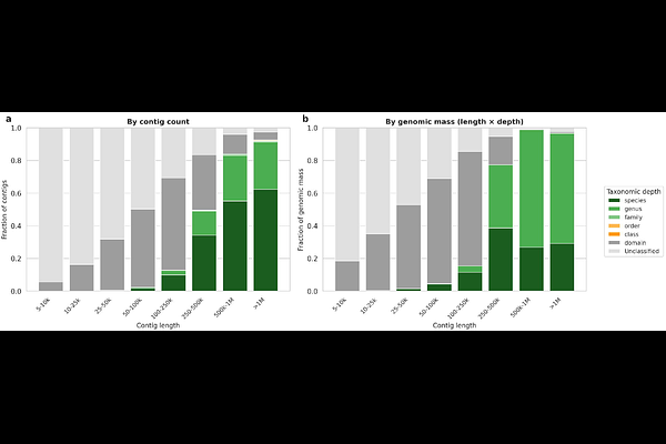
Whether co-occurring microbial populations share similar evolutionary dynamics remains poorly understood, because strain-level resolution across many lineages simultaneously has been unachievable from metagenomic assembly. Here we apply 720 Gbp of Nanopore sequencing and the assembler myloasm to a South San Francisco Bay microbiome, recovering 488 high-quality single-contig genomes including 328 circular chromosomes -- without manual curation. Strain-level resolution revealed striking contrasts in population structure: Pelagibacter yielded 78 high-quality single contig genomes spanning 18 species with no two sharing >=99% average nucleotide identity (ANI) -- every genome a distinct strain, consistent with phage-driven frequency-dependent selection -- while HIMB114 was nearly monotypic, with 9 of 11 high-quality genomes in a single species, suggesting periodic selection or a recent sweep. Using unsupervised Markov clustering of variational autoencoder embeddings, we assigned 99.3% of contigs >=5 kbp to a taxonomic domain and resolved nearly 50% of the community to species level. The assembly also captured nearly 95,000 viral contigs (>=5 kbp) including 502 giant viruses, novel eukaryotic lineages, and mercury resistance genes reflecting the Bay's contamination legacy. These contrasting patterns -- coexisting in a single 10-liter sample -- reveal that fundamentally different evolutionary strategies operate simultaneously within a complex microbiome, a level of resolution not previously demonstrated from de novo assembly. We'd like to note that the results of this study mark a milestone in a 10 year hunt for Torben to get as many complete Pelagibacter genomes from a metagenome as possible.

Follow Us on

0 comments

Add comment