Ecological Role of the Heterotrophic Protist Aurantiochytrium (Labyrinthulomycetes) as a Key Consumer of Viral-Induced Dissolved Organic Matter Following the Lysis of the Red Tide-forming Microalga Heterosigma akashiwo

Avatar
Poster
Voice is AI-generated
Connected to paperThis paper is a preprint and has not been certified by peer review

Ecological Role of the Heterotrophic Protist Aurantiochytrium (Labyrinthulomycetes) as a Key Consumer of Viral-Induced Dissolved Organic Matter Following the Lysis of the Red Tide-forming Microalga Heterosigma akashiwo

Authors

Chen, S.; Aoki, M.; Sano, K.; Yamamoto, K.; Takao, Y.; Kamikawa, R.; Yoshida, T.

Abstract

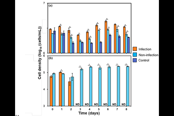
Marine algal blooms play a vital role in oceanic carbon cycling, yet the ecological consequences of algal organic matter released following their collapse via viral infection are poorly understood. Recent studies have shown that viral infection dramatically alters the host's intracellular metabolite composition, and the subsequent viral lysate selectively promotes the growth of specific prokaryotic populations. This study aimed to elucidate the effect of organic matter derived from healthy and virus-infected cells of the bloom-forming alga Heterosigma akashiwo on the growth of heterotrophic eukaryotes, specifically Labyrinthulomycetes. These marine protists are primarily saprotrophic or predatory and contribute to dissolved organic matter (DOM) decomposition and nutrient cycling. Our field monitoring in Osaka Bay over 12 months revealed that while the overall Labyrinthulomycetes community showed no clear seasonality, specific populations of the protists co-occurred with Heterosigma akashiwo. To mechanistically investigate the potential trophic linkage suggested by these field observations, a co-culture system comprising H. akashiwo, its specific virus (HaV53), and Aurantiochytrium sp. NBRC102614, used here as a model Labyrinthulomycete, was established. In the co-culture experiments, viral lysis of H. akashiwo led to a significant increase in the cell density of Aurantiochytrium sp., demonstrating that Aurantiochytrium can thrive on substrates derived from the virus-infected alga, such as viral-induced dissolved organic matter (vDOM). These findings highlight that heterotrophic Labyrinthulomycetes are one of key consumers of virus-modified organic matter, playing a pivotal role in carbon cycling following the collapse of harmful algal blooms and influencing carbon transfer in coastal microbial food webs.

Follow Us on

0 comments

Add comment