Amphitrophic Listeria monocytogenes: multi-dimensional genomic profiling reveals a third ecological strategy that challenges the virulence-persistence trade-off paradigm

Avatar
Poster
Voice is AI-generated
Connected to paperThis paper is a preprint and has not been certified by peer review

Amphitrophic Listeria monocytogenes: multi-dimensional genomic profiling reveals a third ecological strategy that challenges the virulence-persistence trade-off paradigm

Authors

Gamboa, J.

Abstract

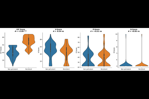
Background: The virulence-persistence trade-off is considered a fundamental organizing principle of Listeria monocytogenes population biology: hypervirulent clonal complexes dominate clinical cases but are rarely found in processing environments, while hypovirulent lineages dominate industrial niches but are underrepresented in severe disease. However, whether this dichotomy operates as an absolute paradigm has not been quantitatively evaluated at the population scale. Here we develop a multi-dimensional genomic scoring approach that simultaneously quantifies virulence potential (V), environmental persistence capacity (P), clonal epidemiological context (C), and antimicrobial resistance (R) across 903 genomes from four independent datasets spanning five countries, and apply it to test the universality of the trade-off and to characterize the ecological strategies of L. monocytogenes at the population level. Methods: The scoring approach integrates four components into a composite 0-100 score through empirically calibrated weights (V: 30%, P: 40%, C: 20%, R: 10%). Validation employed 903 L. monocytogenes genomes from four public BioProjects: longitudinal industrial surveillance in Norway (Fagerlund et al. 2022, n = 513, PRJNA689484), retail environments in the United States (Stasiewicz et al. 2015, n = 191, PRJNA245909), clinical-environmental context in China (Wang et al. 2021, n = 151, PRJNA759341), and meat processing in Poland (Kurpas et al. 2020, n = 48, PRJNA629756). Results: The composite score achieved excellent discriminatory performance for identifying persistent clones (AUC = 0.933; 95% CI: 0.910-0.954) with perfect specificity (1.000; zero false positives). The inverse V-P correlation was statistically significant across all four datasets (Spearman rho from -0.144 to -0.713; p < 0.01), providing the first cross-dataset quantitative confirmation of the trade-off. However, simultaneous evaluation of V-P profiles at the population scale revealed that the species does not conform to a binary dichotomy but rather exhibits three quantitatively distinguishable ecological strategies, for which we propose a functional trophic taxonomy: nosotrophic lineages (22.7%; V > 65, P < 35), specialized in the pathogenic niche; saprotrophic lineages (5.8%; V < 30, P > 45), with irreversible virulence attenuation and industrial specialization; and, as the central finding, amphitrophic lineages (39.1%; V >= 35, P >= 40), which simultaneously retain functional inlA and stress tolerance determinants (SSI-1) without detectable genomic sacrifice. The three strategies differed significantly (Kruskal-Wallis H = 138.7; p = 7.6 x 10^-31). The correspondence between trophic strategy and CC was predominant but not absolute, demonstrating that this phenotypic classification captures intra-CC functional heterogeneity inaccessible through conventional typing. Furthermore, comparison between genome-based and surveillance-informed classifications revealed that 60 hypervirulent isolates (CC1/CC14), genetically classified as nosotrophic, persisted for up to 8 years in industrial facilities despite lacking any recognized persistence markers - indicating that their prolonged survival reflects environmental opportunity rather than intrinsic genomic adaptation. Conclusions: Multi-dimensional genomic profiling reveals that the virulence-persistence trade-off, while statistically robust, does not operate as an absolute paradigm. The amphitrophic strategy - documented here for the first time as a quantitatively distinguishable category encompassing 39.1% of the analyzed population - challenges the prevailing dichotomous model and identifies a previously unrecognized combined ecological niche. The ability to discriminate between genome-encoded persistence capacity and environmentally facilitated persistence provides a biological framework for understanding the ecological determinants of L. monocytogenes population dynamics in anthropogenic environments.

Follow Us on

0 comments

Add comment