High Energy Astrophysical Phenomena

SDSSJ110546.07+145202.4: The first long-duration radio changing-look NLS1 galaxy

SDSSJ110546.07+145202.4: The first long-durati...

High Energy Astrophysical Phenomena
Avatar
librarian
2 views
The swept-back multipolar magnetic field of neutron stars: Application to NICER MSP J0030+0451

The swept-back multipolar magnetic field of ne...

High Energy Astrophysical Phenomena
Avatar
Anu Kundu
2 views
Are X-ray Atmospheres Heated by Turbulent Dissipation? XRISM Constraints

Are X-ray Atmospheres Heated by Turbulent Diss...

High Energy Astrophysical Phenomena
Avatar
librarian
9 views
A comprehensive framework for phase-coherent mapping of the gravitational-wave sky with pulsar timing arrays

A comprehensive framework for phase-coherent m...

High Energy Astrophysical Phenomena
Avatar
librarian
8 views
Exploring the central region of SNR 0540-69.3 with JWST I: 3D morphology

Exploring the central region of SNR 0540-69.3 ...

High Energy Astrophysical Phenomena
Avatar
librarian
5 views
Binary Evolution Can Mimic the Pair-Instability Mass Gap in Black Hole Mergers

Binary Evolution Can Mimic the Pair-Instabilit...

High Energy Astrophysical Phenomena
Avatar
librarian
5 views
Identifying Merger-Driven and Collapsar-Driven Gamma-Ray Bursts with Precursor based Solely on Prompt Emission

Identifying Merger-Driven and Collapsar-Driven...

High Energy Astrophysical Phenomena
Avatar
librarian
15 views
Numerical Studies of Accretion Flows onto a Neutron Star Engulfed in a Massive Star

Numerical Studies of Accretion Flows onto a Ne...

High Energy Astrophysical Phenomena
Avatar
Daiyu Sakurai
4 views
On the Gamma-ray Efficiency of Superluminous Supernovae: Potential Detections and Population-Level Constraints

On the Gamma-ray Efficiency of Superluminous S...

High Energy Astrophysical Phenomena
Avatar
Milena Crnogorčević
9 views
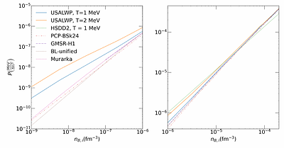
Equation of State for warm Neutron Star outer crusts

Equation of State for warm Neutron Star outer ...

High Energy Astrophysical Phenomena
Avatar
librarian
8 views
Latest results from the IceCube Neutrino Observatory

Latest results from the IceCube Neutrino Obser...

High Energy Astrophysical Phenomena
Avatar
librarian
10 views
Probing the 3D Structures of Supernovae through IR Signatures of CO and SiO

Probing the 3D Structures of Supernovae throug...

High Energy Astrophysical Phenomena
Avatar
librarian
12 views
Three Subclasses of the Intensity-tracking Pattern in Gamma-Ray Burst Spectral Evolution

Three Subclasses of the Intensity-tracking Pat...

High Energy Astrophysical Phenomena
Avatar
Liang Li
10 views
Rotation-induced Relaxation of Supernova Constraints on Axionlike Particles

Rotation-induced Relaxation of Supernova Const...

High Energy Astrophysical Phenomena
Avatar
librarian
7 views
Dust-driven streaming instability and magnetic field amplification downstream of supernova remnant shocks

Dust-driven streaming instability and magnetic...

High Energy Astrophysical Phenomena
Avatar
librarian
8 views
Dust-driven streaming instability and magnetic field amplification downstream of supernova remnant shocks

Dust-driven streaming instability and magnetic...

High Energy Astrophysical Phenomena
Avatar
librarian
5 views
Dust-driven streaming instability and magnetic field amplification downstream of supernova remnant shocks

Dust-driven streaming instability and magnetic...

High Energy Astrophysical Phenomena
Avatar
librarian
8 views
Systematic assessment of disk truncation in the black hole X-ray binary Swift J1727.8-1613 using NICER

Systematic assessment of disk truncation in th...

High Energy Astrophysical Phenomena
Avatar
librarian
17 views
Deeper analysis of Fermi-LAT unassociated 4FGL J2112.5-3043 for possible identification

Deeper analysis of Fermi-LAT unassociated 4FGL...

High Energy Astrophysical Phenomena
Avatar
librarian
10 views
Influence of winds on shocked magnetized viscous accretion flows around rotating black holes

Influence of winds on shocked magnetized visco...

High Energy Astrophysical Phenomena
Avatar
librarian
15 views
Influence of winds on shocked magnetized viscous accretion flows around rotating black holes

Influence of winds on shocked magnetized visco...

High Energy Astrophysical Phenomena
Avatar
librarian
20 views
A simple relation: Neutron star magnetic field strength and spectral shape at low mass accretion rates

A simple relation: Neutron star magnetic field...

High Energy Astrophysical Phenomena
Avatar
librarian
18 views
Ultrahigh-energy cosmogenic neutrino emissions in the high-redshift universe

Ultrahigh-energy cosmogenic neutrino emissions...

High Energy Astrophysical Phenomena
Avatar
librarian
19 views
A Generalized Algorithmic Framework for Detecting Faraday Rotation Measure Flares in Repeating Fast Radio Bursts

A Generalized Algorithmic Framework for Detect...

High Energy Astrophysical Phenomena
Avatar
librarian
23 views
Localization and Confidence Region Estimation of Short GRBs with the COSI BGO Shield Using a HEALPix-Based Deep Learning Approach

Localization and Confidence Region Estimation ...

High Energy Astrophysical Phenomena
Avatar
librarian
23 views
Synchrotron-cooled plasma distribution in the outer magnetosphere of a neutron star

Synchrotron-cooled plasma distribution in the ...

High Energy Astrophysical Phenomena
Avatar
Mikhail Medvedev
23 views
Las Cumbres Observatory Gravitational-Wave Follow-up in O3 and O4: Strengths and Weaknesses of a Rapid Response Galaxy Targeted Strategy

Las Cumbres Observatory Gravitational-Wave Fol...

High Energy Astrophysical Phenomena
Avatar
librarian
20 views
Correlation between Ultra-High-Energy Neutrino KM3-230213A and Gamma-Ray Bursts

Correlation between Ultra-High-Energy Neutrino...

High Energy Astrophysical Phenomena
Avatar
librarian
19 views
Fast Neutrino-Flavor Conversion with Attenuation and Global Lepton Gradient

Fast Neutrino-Flavor Conversion with Attenuati...

High Energy Astrophysical Phenomena
Avatar
librarian
17 views
JWST spectroscopy of SN 2010da/NGC 300 ULX-1: a surviving star hidden by dust

JWST spectroscopy of SN 2010da/NGC 300 ULX-1: ...

High Energy Astrophysical Phenomena
Avatar
Emma Beasor
21 views
Radiation hydrodynamic simulations for the origin of quasi-periodic oscillations for accretion onto supermassive black holes

Radiation hydrodynamic simulations for the ori...

High Energy Astrophysical Phenomena
Avatar
librarian
21 views
Prospects for GRB Afterglow Discovery with the Eric and Wendy Schmidt Observatory System

Prospects for GRB Afterglow Discovery with the...

High Energy Astrophysical Phenomena
Avatar
James Freeburn
22 views