Computer Science

PhysNote: Self-Knowledge Notes for Evolvable Physical Reasoning in Vision-Language Model
Avatar
librarian
0 views
XGRAG: A Graph-Native Framework for Explaining KG-based Retrieval-Augmented Generation
Avatar
librarian
0 views
Rank, Head-Channel Non-Identifiability, and Symmetry Breaking: A Precise Analysis of Representational Collapse in Transformers
Avatar
Giansalvo Cirrincione
0 views
The Override Gap: A Magnitude Account of Knowledge Conflict Failure in Hypernetwork-Based Instant LLM Adaptation
Avatar
Shuaizhi Cheng
1 view
Caesar: Deep Agentic Web Exploration for Creative Answer Synthesis
Avatar
Jason Liang
3 views
GiVA: Gradient-Informed Bases for Vector-Based Adaptation
Avatar
Neeraj Gangwar
8 views
A Multimodal Text- and Graph-Based Approach for Open-Domain Event Extraction from Documents
Avatar
librarian
8 views
Transient Turn Injection: Exposing Stateless Multi-Turn Vulnerabilities in Large Language Models
Avatar
Naheed Rayhan
7 views
Nemobot Games: Crafting Strategic AI Gaming Agents for Interactive Learning with Large Language Models
Avatar
librarian
8 views
Alignment has a Fantasia Problem

Alignment has a Fantasia Problem

Artificial Intelligence
Avatar
Nathanael Jo
8 views
Quotient-Space Diffusion Models
Avatar
librarian
11 views
Finding Duplicates in 1.1M BDD Steps: cukereuse, a Paraphrase-Robust Static Detector for Cucumber and Gherkin
Avatar
Ali Hassaan Mughal
6 views
Fairness under uncertainty in sequential decisions
Avatar
Michelle Seng Ah Lee
8 views
Bounding the Black Box: A Statistical Certification Framework for AI Risk Regulation
Avatar
librarian
11 views
From Research Question to Scientific Workflow: Leveraging Agentic AI for Science Automation
Avatar
librarian
10 views
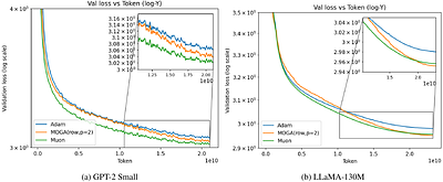
Low-Rank Adaptation Redux for Large Models
Avatar
librarian
12 views
The Sample Complexity of Multicalibration
Avatar
librarian
11 views
Temporal Taskification in Streaming Continual Learning: A Source of Evaluation Instability
Avatar
Elena Burceanu
10 views
Soft-Label Governance for Distributional Safety in Multi-Agent Systems
Avatar
Raeli Savitt
9 views
To See the Unseen: on the Generalization Ability of Transformers in Symbolic Reasoning
Avatar
librarian
9 views
Learning to Communicate: Toward End-to-End Optimization of Multi-Agent Language Systems
Avatar
librarian
12 views
Tool Attention Is All You Need: Dynamic Tool Gating and Lazy Schema Loading for Eliminating the MCP/Tools Tax in Scalable Agentic Workflows
Avatar
librarian
11 views
FedSIR: Spectral Client Identification and Relabeling for Federated Learning with Noisy Labels
Avatar
Sina Gholami
14 views
Diagnosing CFG Interpretation in LLMs
Avatar
librarian
15 views
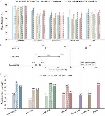
Closing the Domain Gap in Biomedical Imaging by In-Context Control Samples
Avatar
Günter Klambauer
14 views
V-tableR1: Process-Supervised Multimodal Table Reasoning with Critic-Guided Policy Optimization
Avatar
librarian
16 views