Disc Fragmentation. III. The need for a new paradigm for formation of planets within close binary systems

Avatar
Poster
Voice is AI-generated
Connected to paperThis paper is a preprint and has not been certified by peer review

Disc Fragmentation. III. The need for a new paradigm for formation of planets within close binary systems

Authors

Luyao Zhang, Sergei Nayakshin, Clement Baruteau, Philippe Thebault, Eduard I. Vorobyov

Abstract

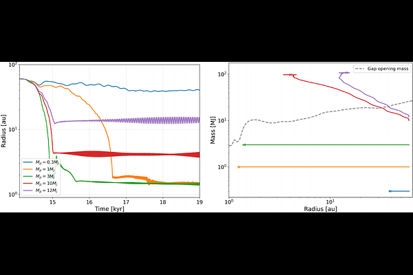
Dozens of planets and brown dwarfs are known to orbit one component of tight stellar binaries ($a_{\rm bin} \lesssim 20$ au), despite circumstellar discs in such systems being truncated to radii of only $\sim (0.2-5)$ au. This presents a challenge to classical planet formation models, which assume planets form after their host stars within stable discs. We propose instead that planet formation and binary formation are concurrent outcomes of gravitational fragmentation in massive circumstellar discs. In this scenario, rapid disc growth driven by infall from the parent molecular cloud leads to fragmentation at radii of tens of au, producing planetary-mass objects that migrate inward. Continued disc growth produces a dominant "oligarch" fragment that undergoes accretion runaway to become the secondary star. During this process, dynamical interactions eject many lower-mass planets, producing free-floating planets (FFPs), while others survive if they migrate sufficiently close to the primary star before destabilisation. Using numerical simulations, we show that survival depends strongly on formation time and mass. Planets formed early and those with masses $> 1-3M_j$ are preferentially retained, whereas lower-mass planets ($<0.1M_j$) are typically ejected. This mechanism naturally explains why low-mass planets are more deficient in tight binaries than gas giants, and predicts that FFPs have a steeper mass function than bound planets within binaries.

Follow Us on

0 comments

Add comment