Water enrichment of forming sub-Neptune envelopes limited by oxygen exhaustion

Avatar
Poster
Voice is AI-generated
Connected to paperThis paper is a preprint and has not been certified by peer review

Water enrichment of forming sub-Neptune envelopes limited by oxygen exhaustion

Authors

Tadahiro Kimura, Tim Lichtenberg

Abstract

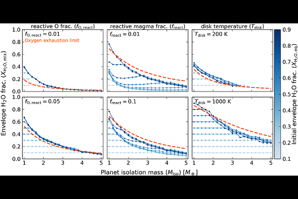
The interaction between a magma ocean and a primordial atmosphere is increasingly recognized as a key process in shaping planetary envelope compositions. This coupling should strongly influence gas accretion, yet its role during the disk-embedded stage remains poorly constrained. We develop a time-dependent model that couples solid accretion, nebular-gas accretion, and water enrichment and partitioning through magma-atmosphere interactions, along with post-disk thermal evolution and escape. We find that, for super-Earth-mass planets, water production is generally limited by the magma oxygen budget and typically ceases before disk dispersal. Subsequent nebular-gas accretion dilutes the envelope toward hydrogen-dominated compositions, largely independent of the initial magma redox state. This establishes an upper bound on the envelope water fraction -- the oxygen exhaustion limit -- primarily set by the reactive-oxygen inventory and the planet mass. After disk dispersal, degassing increases the water fraction only in Earth-mass planets undergoing strong escape, while super-Earths exhibit little change because surface pressures are hardly affected by escape. Magma-atmosphere coupling alone therefore cannot maintain water-rich envelopes in sub-Neptunes and produces a strong mass-composition relation imposed by the oxygen exhaustion limit. Highly enriched sub-Neptunes would therefore imply additional mechanisms such as late volatile delivery or post-disk giant impacts. The relation between planetary radius and envelope composition offers a means to infer magma properties, providing a pathway to connect present-day observables with early formation histories.

Follow Us on

0 comments

Add comment