Exact lambdavacuum solutions in higher dimensions

Avatar
Poster
Voice is AI-generated
Connected to paperThis paper is a preprint and has not been certified by peer review

Exact lambdavacuum solutions in higher dimensions

Authors

I. A. Sarmiento-Alvarado, P. Wiederhold, T. Matos

Abstract

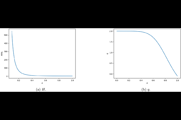
In this work, we obtain exact solutions to the $(n+2)$-dimensional Einstein Field Equations with a non-zero cosmological constant for $n > 1$. These solutions depend on a set $\{ A_a, a=1,2,\ldots , m \}$ of pairwise commuting constant matrices in $\mathfrak{sl} ( n, \mathbb{R} )$ and on a constant matrix $g_0$ in $\mathcal{I} (\{ A_a, a=1,\ldots , m \})$, determined in previous work. Different choices of $\{ A_a, a=1,\ldots , m \}$ and $g_0$ correspond to different solutions. As examples, we show how to obtain the de Sitter metric, the Anti-de Sitter metric, the Birmingham metric, the Nariai metric and the Anti-Nariai metric in higher dimensions. The generalized Nariai and Anti-Nariai solutions are direct topological products of $AdS_{\frac{n}{2} + 1} \times H^{\frac{n}{2} + 1}$, $dS_{\frac{n}{2} + 1} \times S^{\frac{n}{2} + 1}$, $AdS_2 \times H^n$, $AdS_n \times H^2$, $dS_2 \times S^n$ and $dS_n \times S^2$. In addition, we study a solution in the context of cosmology.

Follow Us on

0 comments

Add comment