Three channel dissipative warm Higgs inflation with global inference via genetic algorithms

Avatar
Poster
Voice is AI-generated
Connected to paperThis paper is a preprint and has not been certified by peer review

Three channel dissipative warm Higgs inflation with global inference via genetic algorithms

Authors

Wei Cheng

Abstract

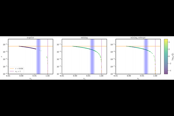
This paper constructs and analyzes a three channel dissipative framework for Warm Higgs Inflation, wherein the total dissipation coefficient, $Υ(h,T)$, is decomposed into low temperature, high temperature, and threshold activated contributions. A genetic algorithm is employed for the global numerical solution and statistical inference of the background field dynamics. To overcome the single channel dominance degeneracy in high dimensional parameter scans, two classes of structural priors are introduced into the objective function: a \texttt{mixing} prior to suppress extreme channel fractions and an \texttt{entropy} prior to favor multi channel coexistence. Furthermore, the adoption of a layered warmness criterion (e.g., $Q \equiv Υ/3H$) decouples model selection from cosmological observables, thereby enhancing analytical transparency. The complete workflow is demonstrated on a $14$ dimensional phenomenological model. An ablation study of the priors (\texttt{noprior} vs. \texttt{mixing} vs. \texttt{mixing+entropy}) yields $18871$ viable parameter points, revealing that the priors significantly enhance the discovery probability of non-trivial multi channel solutions within a parameter space naturally biased towards single channel dominance. After imposing the observational constraint $r < 0.036$, the number of retained solutions for each scenario is $14485$, $1889$, and $1971$, respectively. A typical best fit solution exhibits a "channel relay" dynamical feature during its evolution and a genuinely mixed state at the pivot scale (e.g., $f_{{\rm HT},*}\simeq 0.399480$, $f_{{\rm th},*}\simeq 0.600517$), implying that the microscopic origin of dissipation need not be unique within a single inflationary history.

Follow Us on

0 comments

Add comment